Synthesis (Org 2 Topics)
Table of Contents
These quizzes involve fill-in-the-blank questions covering Org 2 topics such as reactions of alcohols, aromatic substitution reactions, addition reactions to aldehydes and ketones, nucleophilic substitution of carboxylic acid derivatives, reactions of enolates, amines, and amino acids.
Quiz count: 95
Ether and Alcohol Synthesis
Quiz#:2713
Click to Flip
Quiz#:2714
Click to Flip
Quiz#:2715
Click to Flip
Quiz#:2716

Become a MOC member to see the clickable quiz with answers on the back.
Quiz#:2717

Become a MOC member to see the clickable quiz with answers on the back.
Functional Group Interconversions of Alcohols
Quiz#:2718 
Become a MOC member to see the clickable quiz with answers on the back.
Quiz#:2719 
Become a MOC member to see the clickable quiz with answers on the back.
Quiz#:2720 
Become a MOC member to see the clickable quiz with answers on the back.
Quiz#:2721 
Become a MOC member to see the clickable quiz with answers on the back.
Quiz#:2722 
Become a MOC member to see the clickable quiz with answers on the back.
Quiz#:2723 
Become a MOC member to see the clickable quiz with answers on the back.
Quiz#:2724 
Become a MOC member to see the clickable quiz with answers on the back.
Reactions of Epoxides and Grignard Reagents
Quiz#:2725 
Become a MOC member to see the clickable quiz with answers on the back.
Quiz#:2726 
Become a MOC member to see the clickable quiz with answers on the back.
Quiz#:2727 
Become a MOC member to see the clickable quiz with answers on the back.
Quiz#:2728 
Become a MOC member to see the clickable quiz with answers on the back.
Quiz#:2729

Become a MOC member to see the clickable quiz with answers on the back.
Grignard Additions to Aldehydes, Ketones and Esters
Quiz#:2730 
Become a MOC member to see the clickable quiz with answers on the back.
Quiz#:2731 
Become a MOC member to see the clickable quiz with answers on the back.
Quiz#:2732 
Become a MOC member to see the clickable quiz with answers on the back.
Quiz#:2733 
Become a MOC member to see the clickable quiz with answers on the back.
Quiz#:2734 
Become a MOC member to see the clickable quiz with answers on the back.
Quiz#:2735 
Become a MOC member to see the clickable quiz with answers on the back.
Quiz#:2736 
Become a MOC member to see the clickable quiz with answers on the back.
Quiz#:2737 
Become a MOC member to see the clickable quiz with answers on the back.
Oxidation Reactions of Alcohols, Wittig Reaction, Imine Formation
Quiz#:2738 
Become a MOC member to see the clickable quiz with answers on the back.
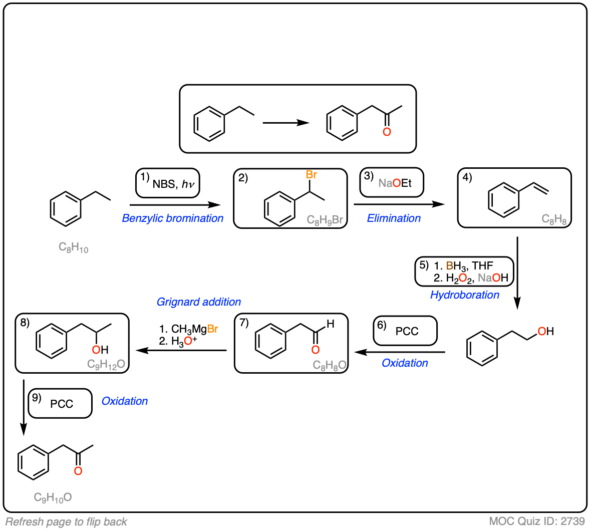
Quiz#:2739
Click to Flip
***Get access to 70 more synthesis quiz questions below by joining the MOC Membership ***
The rest of this page is available to MOC Members only.
To get access to this page, plus over 2500 quizzes, the Reaction Encyclopedia, Org 1 / Org 2 summary sheets, and flashcards, sign up here for only 30 cents/ day!